Українські підручники
ГДЗ
онлайн
Українські підручники
ГДЗ
онлайн
1-клас
2-клас
3-клас
4-клас
5-клас
6-клас
7-клас
8-клас
9-клас
10-клас
11-клас
ГДЗ
9 клас
Підручники
9 клас
ГДЗ 9 клас
>
Геометрія
>
М.І. Бурда, Н.А. Тарасенкова
М.І. Бурда, Н.А. Тарасенкова
Розділ 3. Декартові координати на площині
§ 13. Координати середини відрізка
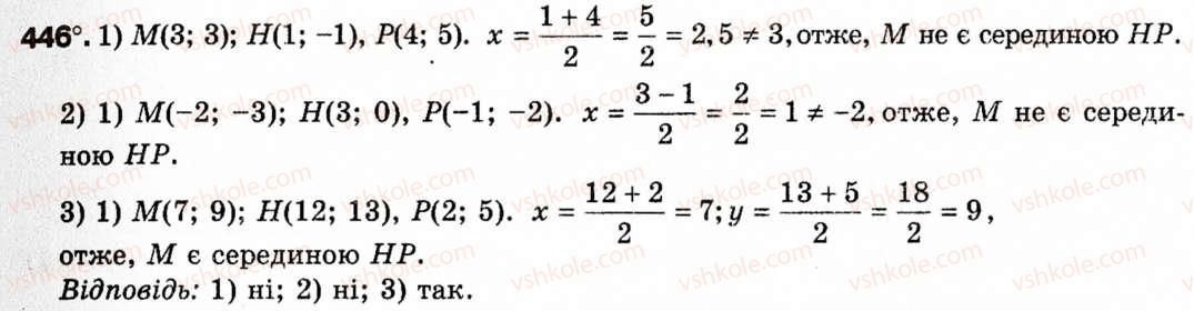
Завдання 446 - § 13. Координати середини відрізка - Розділ 3. Декартові координати на площині
Назад до
445
№ 446
Вперед до
447
Завдання можно рухати вправо/вліво
442
443
444
445
446
447
448
450
451
452
453
454
455
456