Українські підручники
ГДЗ
онлайн
Українські підручники
ГДЗ
онлайн
1-клас
2-клас
3-клас
4-клас
5-клас
6-клас
7-клас
8-клас
9-клас
10-клас
11-клас
ГДЗ
11 клас
Підручники
11 клас
ГДЗ 11 клас
>
Фізика
>
В.Г. Бар'яхтар, С.О. Довгий, Ф.Я. Божинова, О.О. Кірюхіна
В.Г. Бар'яхтар, С.О. Довгий, Ф.Я. Божинова, О.О. Кірюхіна
Розділ I. Електродинаміка
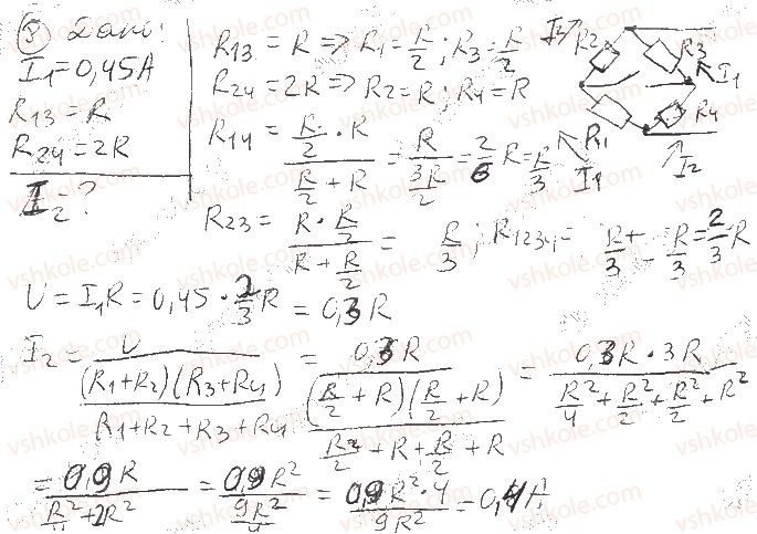
§ 2. Послідовне і паралельне з’єднання провідників. Шунти і додаткові опори
Завдання 8 - § 2. Послідовне і паралельне з’єднання провідників. Шунти і додаткові опори - Розділ I. Електродинаміка
Назад до
7
№ 8
Завдання можно рухати вправо/вліво
1
2
3
4
5
6
7
8