Українські підручники
ГДЗ онлайн

Українські підручники ГДЗ онлайн

Школьные игры
ГДЗ 11 клас Підручники 11 клас
ГДЗ 11 клас > Математика > А.Г. Мерзляк, Д.А. Номіровський, В.Б. Полонський, М.С. Якір
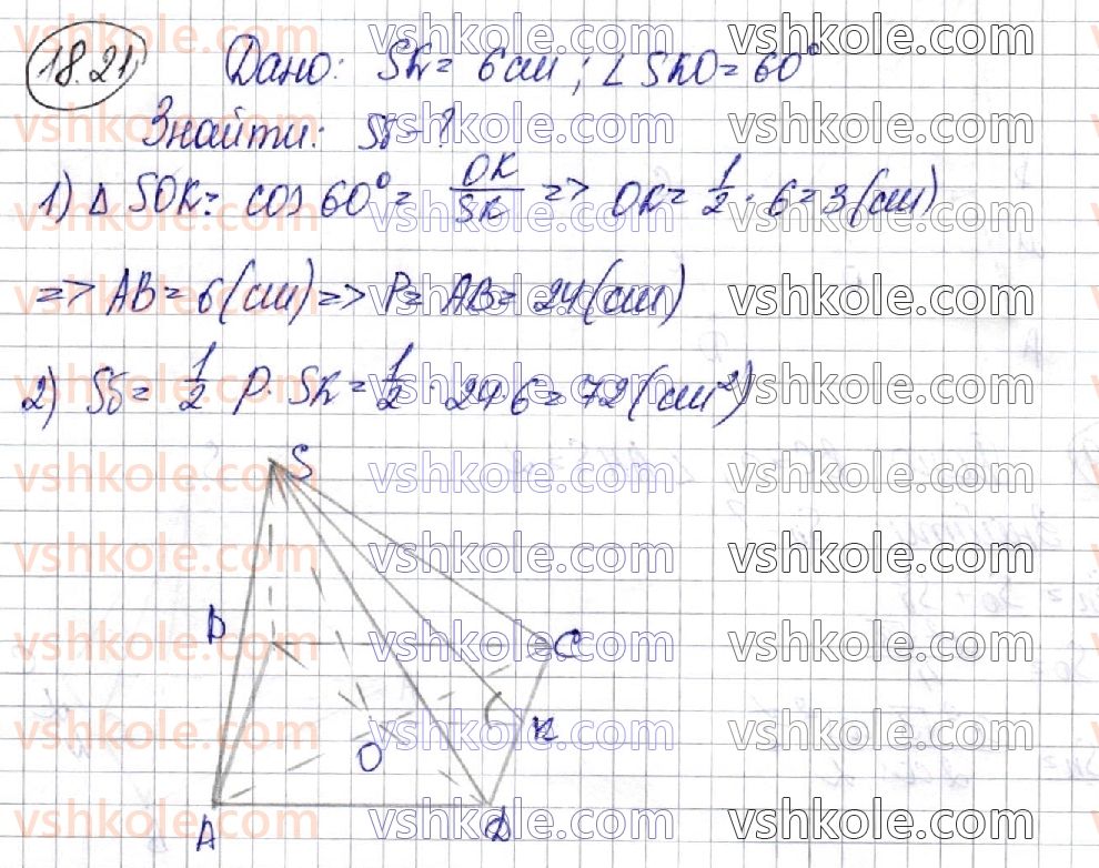
А.Г. Мерзляк, Д.А. Номіровський, В.Б. Полонський, М.С. Якір Геометрія. § 4. Многогранники 18. Піраміда

Завдання 21 - 18. Піраміда - Геометрія. § 4. Многогранники

Назад до 20 № 21 Вперед до 22
zoom-minus zoom-plus
Завдання можно рухати вправо/вліво

11-matematika-ag-merzlyak-da-nomirovskij-vb-polonskij-ms-yakir-2019--geometriya-4-mnogogranniki-18-piramida-21.jpg

  • 1
  • 2
  • 3
  • 4
  • 5
  • 6
  • 7
  • 8
  • 9
  • 10
  • 11
  • 12
  • 13
  • 14
  • 15
  • 16
  • 17
  • 18
  • 19
  • 20
  • 21
  • 22
  • 23
  • 24
  • 25
  • 26
  • 27
  • 28
  • 29
  • 30
  • 31
  • 33
Ми
у твоєму
телефоні
Вшколі - це твій помічник, який допоможе тобі швидко знайти відповідь на завдання або завантажити підручник зі шкільної програми без жодних обмежень.
vshkole.com - це портал, на якому ти зможеш знайти підручники і роз'язники (ГДЗ) з усіх предметів шкільної програми для різних класів. Сайт адаптовано під твій смартфон.
Команда порталу доклала дуже багато зусиль, щоб в тебе не виникало проблем з пошуком потрібної інформації. Користуйся із задоволенням!!! Зв'язатися з нами