Українські підручники
ГДЗ
онлайн
Українські підручники
ГДЗ
онлайн
1-клас
2-клас
3-клас
4-клас
5-клас
6-клас
7-клас
8-клас
9-клас
10-клас
11-клас
ГДЗ
5 клас
Підручники
5 клас
Відеоуроки
5 клас
ГДЗ 5 клас
>
Математика
>
Г.П. Бевз, В.Г. Бевз
Г.П. Бевз, В.Г. Бевз
Розділ 2. Дробові числа
§ 45. Середнє арифметичне
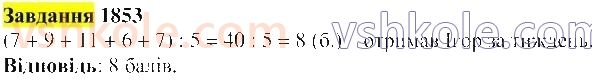
Завдання 1853 - § 45. Середнє арифметичне - Розділ 2. Дробові числа
Назад до
1852
№ 1853
Вперед до
1854
Завдання можно рухати вправо/вліво
1842
1843
1844
1845
1846
1847
1848
1849
1850
1851
1852
1853
1854
1855
1856
1857
1858
1859
1860
1861
1862
1863
1864
1865
1866
1867
1868
1869
1870
1871
1872
1873
1874
1875
1876
1877
1878
1879
1880
1881
1882
1883
1884
1885