|  | 
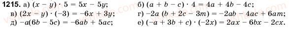
| Завдання 1215 - 40. Розподільна властивість множення. Зведення подібних доданків - § 6. МНОЖЕННЯ І ДІЛЕННЯ РАЦІОНАЛЬНИХ ЧИСЕЛ | 
|  | 
| Завдання 1215 - 40. Розподільна властивість множення. Зведення подібних доданків - § 6. МНОЖЕННЯ І ДІЛЕННЯ РАЦІОНАЛЬНИХ ЧИСЕЛ |