|
|
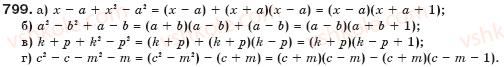
Завдання 799 - § 20. Застосування різних способів розкладання многочленів на множники - РОЗКЛАДАННЯ МНОГОЧЛЕНІВ НА МНОЖНИКИ |
|
|
Завдання 799 - § 20. Застосування різних способів розкладання многочленів на множники - РОЗКЛАДАННЯ МНОГОЧЛЕНІВ НА МНОЖНИКИ |