|
|
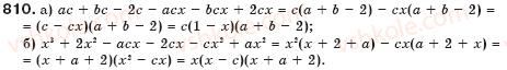
Завдання 810 - § 20. Застосування різних способів розкладання многочленів на множники - РОЗКЛАДАННЯ МНОГОЧЛЕНІВ НА МНОЖНИКИ |
|
|
Завдання 810 - § 20. Застосування різних способів розкладання многочленів на множники - РОЗКЛАДАННЯ МНОГОЧЛЕНІВ НА МНОЖНИКИ |