Українські підручники
ГДЗ
онлайн
Українські підручники
ГДЗ
онлайн
1-клас
2-клас
3-клас
4-клас
5-клас
6-клас
7-клас
8-клас
9-клас
10-клас
11-клас
ГДЗ
7 клас
Підручники
7 клас
ГДЗ 7 клас
>
Алгебра
>
Л.Г. Стадник, О.М. Роганін
Л.Г. Стадник, О.М. Роганін
Картки контролю і практичні тренінги
Практичний тренінг 5
Варіант 2
Завдання 7 - Варіант 2 - Практичний тренінг 5 - Картки контролю і практичні тренінги
Назад до
6
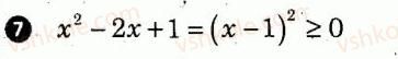
№ 7
Завдання можно рухати вправо/вліво
1
2
3
4
5
6
7