Українські підручники
ГДЗ
онлайн
Українські підручники
ГДЗ
онлайн
1-клас
2-клас
3-клас
4-клас
5-клас
6-клас
7-клас
8-клас
9-клас
10-клас
11-клас
ГДЗ
7 клас
Підручники
7 клас
ГДЗ 7 клас
>
Алгебра
>
Л.Г. Стадник, О.М. Роганін
Л.Г. Стадник, О.М. Роганін
Самостійні роботи
Самостійна робота 8
Варіант 1
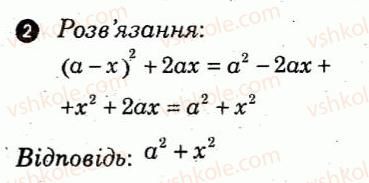
Завдання 2 - Варіант 1 - Самостійна робота 8 - Самостійні роботи
Назад до
1
№ 2
Вперед до
3
Завдання можно рухати вправо/вліво
1
2
3
4