Українські підручники
ГДЗ
онлайн
Українські підручники
ГДЗ
онлайн
1-клас
2-клас
3-клас
4-клас
5-клас
6-клас
7-клас
8-клас
9-клас
10-клас
11-клас
ГДЗ
7 клас
Підручники
7 клас
ГДЗ 7 клас
>
Алгебра
>
Н.А. Тарасенкова, І.М. Богатирьова, О.М. Коломієць
Н.А. Тарасенкова, І.М. Богатирьова, О.М. Коломієць
Самостійні роботи
Самостійна робота № 5. Функція. Графік функції
Варіант 1
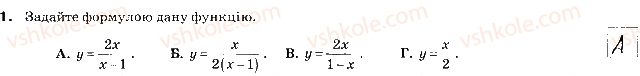
Завдання 1 - Варіант 1 - Самостійна робота № 5. Функція. Графік функції - Самостійні роботи
№ 1
Вперед до
2
Завдання можно рухати вправо/вліво
1
2
3
4
5
6